-
姑息治疗的不可治愈癌症患者 微信小程序可…
2025-11-05 21:20:57
复旦大学张江复旦国际创新中心Yu等报告,使用微信中的姑息治疗教育应用程序(app),可改善不可治愈癌症患者在2个月时的健康相关生活质量(HRQoL)情况。这一发现对未来的…
-
三氯蔗糖或降低免疫治疗疗效
2025-11-05 21:20:24
美国匹兹堡大学Morder等报告,摄入一种常见的非营养甜味剂——三氯蔗糖(又称:蔗糖素,蔗糖晶,三氯半乳糖),能改变微生物组的组成,限制T细胞的代谢和功能,并限制了临床…
-
维生素B3可预防皮肤癌,能将新发病风险降低…
2025-11-05 21:20:09
美国达勒姆退伍军人事务部医学中心Breglio等报告,在有非黑色素瘤皮肤癌病史的患者中,烟酰胺(维生素B3)降低了14%的皮肤癌风险。当首次皮肤癌诊断后开始使用烟酰胺时,该…
-
多癌种血检因证据不足尚待验证
2025-11-05 21:19:44
美国研究者Kahwati等报告,在评估基于血液的多癌种检测筛查(MCD)对癌症检测、死亡率或生活质量的影响时,鉴于目前尚未能确定任何已完成的对照研究能提供明确的结论,相关…
-
cⅠ~Ⅱ期或T1~2N0M0/Tis喉癌 有必要进一步评…

2025-11-05 21:19:22
美国纪念斯隆-凯特琳癌症中心Treechairusame等报告,在cⅠ~Ⅱ期或无淋巴结受累或转移的原位喉癌(T1~2N0M0/Tis)患者中,喉部部分放射治疗(PLRT)与全喉放射治疗(WLRT)在…
-
重度肥胖与较低的癌症筛查率相关
2025-11-05 21:19:04
美国Metamor研究所Corpodean等报告,重度肥胖与指南推荐的癌症筛查率的显著降低相关。与体质指数(BMI)为18.5~29.9 kg/m2的成年人相比,BMI≥50.0 kg/m2的成年人不太可能接…
-
肥胖分布对肥胖相关癌症风险的影响不同
2025-11-05 21:18:41
英国布里斯托尔大学Hazelwood等报告,肥胖分布对肥胖相关癌症风险的影响不同,其中增高的腹部皮下脂肪组织(ASAT)可增高子宫内膜癌、肝癌和食管腺癌的风险,而增高的臀股…
-
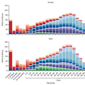
全球癌症发病和死亡趋势依然严峻 癌症控制…
2025-11-05 21:17:56
美国华盛顿大学等Force报告,癌症是造成全球疾病负担的主要原因,预计到2050年,癌症发病和癌症死亡人数将会增加,在资源稀缺的国家,癌症负担将会不成比例地增高。癌症归…
-
紫外线辐射相关症状与皮肤鳞状细胞癌相关
2025-11-05 21:17:38
美国MD Anderson癌症中心Weber等报告,紫外线辐射相关的疼痛、起泡和(或)严重晒伤与皮肤鳞状细胞癌(cSCC)相关。(JAMA Dermatol. 2025年9月24日在线版)虽然紫外线辐射…
-
10%的儿童血液系统肿瘤与医学影像辐射相关
2025-11-05 21:17:03
美国加州大学旧金山分校Smith-Bindman等纳入近400万儿童数据,平均随访10.1人年,分析显示,医学影像辐射与儿童血液系统癌症风险显著相关。与无暴露者相比,累计辐射剂量1~…
追踪•新进展•其他肿瘤

